|
|
Operational Theory
Piston
Displacement Velocity, and Acceleration (page 3)
|
****JavaScript based drop down DHTML menu generated by NavStudio. (OpenCube Inc. - http://www.opencube.com)****
|
|
PREVIOUS PAGE
Page
1
2 3
4
Piston Velocity
It was seen on page one
that the AVERAGE piston speed can be obtained from the simple
formula, 2nL
To obtain the
instantaneous velocity at any crank angle then use must be made
of differential calculus.
This will show, that
contrary to common belief, the piston is not moving with maximum
velocity at 90° ATDC.
From the previous page it
was shown that the distance moved by the piston at any crank
angle, wt, is given by
s = (l + r)
- [rcos(wt)
+ √{l2 - r2sin2(wt)}]
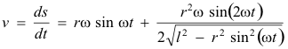
If the first differential,
ds/dt of the equation is found, this gives an expression
for the instantaneous velocity, v.

This equation, luckily,
can be simplified to:

If you are interested in
finding how these equations were obtained,
CLICK HERE
The information can be
entered on a spreadsheet and the velocity for any crank
angle, conrod length: crank radius ratio calculated. Below is an
extract from a spreadsheet for the example previously discussed.
(120rpm, conrod l = 2.5m, crank radius r = 1m)
|
crank angle |
rpm |
time |
w
rad/sec |
wt |
crank radius (r) |
con
rod length (l) |
Mean Piston Speed |
Velocity |
|
0 |
120 |
0 |
12.56637 |
0 |
1 |
2.5 |
8 |
0 |
|
5 |
120 |
0.006944 |
12.56637 |
0.087266 |
1 |
2.5 |
8 |
1.531656836 |
|
10 |
120 |
0.013889 |
12.56637 |
0.174533 |
1 |
2.5 |
8 |
3.041717733 |
|
15 |
120 |
0.020833 |
12.56637 |
0.261799 |
1 |
2.5 |
8 |
4.509053104 |
|
20 |
120 |
0.027778 |
12.56637 |
0.349066 |
1 |
2.5 |
8 |
5.913453345 |
|
25 |
120 |
0.034722 |
12.56637 |
0.436332 |
1 |
2.5 |
8 |
7.236057381 |
|
30 |
120 |
0.041667 |
12.56637 |
0.523599 |
1 |
2.5 |
8 |
8.459744544 |
|
35 |
120 |
0.048611 |
12.56637 |
0.610865 |
1 |
2.5 |
8 |
9.569479222 |
|
40 |
120 |
0.055556 |
12.56637 |
0.698132 |
1 |
2.5 |
8 |
10.55259917 |
|
45 |
120 |
0.0625 |
12.56637 |
0.785398 |
1 |
2.5 |
8 |
11.39904 |
|
50 |
120 |
0.069444 |
12.56637 |
0.872665 |
1 |
2.5 |
8 |
12.10149022 |
|
55 |
120 |
0.076389 |
12.56637 |
0.959931 |
1 |
2.5 |
8 |
12.65547333 |
|
60 |
120 |
0.083333 |
12.56637 |
1.047198 |
1 |
2.5 |
8 |
13.05935542 |
|
65 |
120 |
0.090278 |
12.56637 |
1.134464 |
1 |
2.5 |
8 |
13.31427922 |
|
70 |
120 |
0.097222 |
12.56637 |
1.22173 |
1 |
2.5 |
8 |
13.4240272 |
|
75 |
120 |
0.104167 |
12.56637 |
1.308997 |
1 |
2.5 |
8 |
13.39481898 |
|
80 |
120 |
0.111111 |
12.56637 |
1.396263 |
1 |
2.5 |
8 |
13.23504958 |
|
85 |
120 |
0.118056 |
12.56637 |
1.48353 |
1 |
2.5 |
8 |
12.95497725 |
|
90 |
120 |
0.125 |
12.56637 |
1.570796 |
1 |
2.5 |
8 |
12.56637061 |
|
95 |
120 |
0.131944 |
12.56637 |
1.658063 |
1 |
2.5 |
8 |
12.08212631 |
|
100 |
120 |
0.138889 |
12.56637 |
1.745329 |
1 |
2.5 |
8 |
11.51586883 |
|
105 |
120 |
0.145833 |
12.56637 |
1.832596 |
1 |
2.5 |
8 |
10.88154486 |
|
110 |
120 |
0.152778 |
12.56637 |
1.919862 |
1 |
2.5 |
8 |
10.19302427 |
|
115 |
120 |
0.159722 |
12.56637 |
2.007129 |
1 |
2.5 |
8 |
9.463719867 |
|
120 |
120 |
0.166667 |
12.56637 |
2.094395 |
1 |
2.5 |
8 |
8.706236948 |
|
125 |
120 |
0.173611 |
12.56637 |
2.181662 |
1 |
2.5 |
8 |
7.932063031 |
|
130 |
120 |
0.180556 |
12.56637 |
2.268928 |
1 |
2.5 |
8 |
7.151306538 |
|
135 |
120 |
0.1875 |
12.56637 |
2.356194 |
1 |
2.5 |
8 |
6.372491753 |
|
140 |
120 |
0.194444 |
12.56637 |
2.443461 |
1 |
2.5 |
8 |
5.602415488 |
|
145 |
120 |
0.201389 |
12.56637 |
2.530727 |
1 |
2.5 |
8 |
4.846068928 |
|
150 |
120 |
0.208333 |
12.56637 |
2.617994 |
1 |
2.5 |
8 |
4.10662607 |
|
155 |
120 |
0.215278 |
12.56637 |
2.70526 |
1 |
2.5 |
8 |
3.38549803 |
|
160 |
120 |
0.222222 |
12.56637 |
2.792527 |
1 |
2.5 |
8 |
2.682450413 |
|
165 |
120 |
0.229167 |
12.56637 |
2.879793 |
1 |
2.5 |
8 |
1.995778981 |
|
170 |
120 |
0.236111 |
12.56637 |
2.96706 |
1 |
2.5 |
8 |
1.322536981 |
|
175 |
120 |
0.243056 |
12.56637 |
3.054326 |
1 |
2.5 |
8 |
0.658805893 |
|
180 |
120 |
0.25 |
12.56637 |
3.141593 |
1 |
2.5 |
8 |
0 |

It can be seen that
maximum velocity is reached when the crank is at 71° past TDC
and again at 71° before TDC
If the Con rod : Crank
radius ratio is increased then the point of maximum velocity
moves closer to 90° past TDC. and the curve gets closer to a
pure sine wave form. The smaller the ratio (i.e. the shorter the
con rod, the higher the maximum velocity of the piston)
What must be remembered
is that the negative values on the graph are showing the piston
is travelling back up the cylinder. The velocity at a maximum is
still approximately 13.4m/s, even though the graph shows it as a
negative value (indicating reverse direction). This must also be
borne in mind when looking at the graph for acceleration on the
next page.
If you are a subscriber
to marinediesels, then the spreadsheets can be downloaded
HERE
and different values entered for engine speed, conrod length and
crank radius, and the effects noted.
Velocity/time gives
acceleration: So if velocity is differentiated with respect to
time then the instantaneous acceleration of the piston can be
calculated for any crank angle and engine speed.
This is shown on the
NEXT PAGE.
PREVIOUS PAGE
Page
1
2 3
4
|